GEPRC GR2004 Motor












● High-efficiency and Smooth
● Perfectly Fit to Toothpick and Long Range FPV
● Dynamically balanced with Dual Bearing Design
● Best for 5inch Propellers.
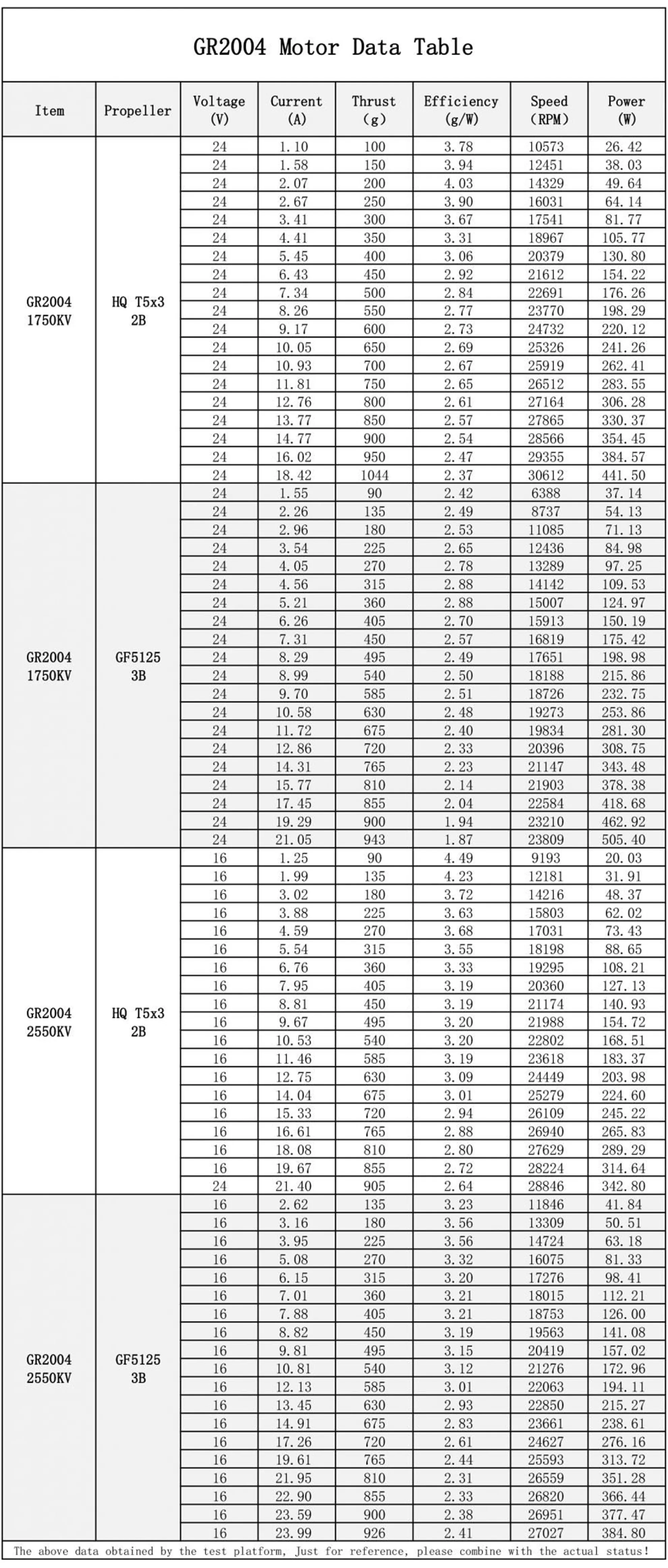
GEPRC GR2004 brushless motor, specially developed for Toothpick & Long Range FPV, Both versions are available:1750KV & 2550KV, The Super Motors are adequate for our whatever needs. GEPRC GR2004 has a good heat dissipation, lightweight design, advanced technology about material,Perfectly Fit to Toothpick and Long Range FPV.
Designed with a 12N14P configuration and dual-bearing system, the GR2004 ensures stable and efficient performance.
Weighing only 16.8 grams, it contributes to a lighter drone setup, enhancing agility and flight time.
Utilizes N52H magnets and high-quality construction for durability and optimal performance.
The range of KV ratings allows pilots to select the motor that best fits their specific needs.
1750KV for 2-6S batteries, ideal for long-range flights.
2550KV for 2-4S batteries, suitable for freestyle and racing.
Best suited for 5-inch propellers and compatible with toothpick and long-range FPV drones.


