GEPRC GR2004 Motor












● Hochleistung & Reibungsloser Lauf
● Perfekt für Toothpick- und Langstrecken-FPV-Modelle
● Dynamisch ausbalanciert mit Doppellager-Design
● Optimiert für 5-Zoll-Propeller
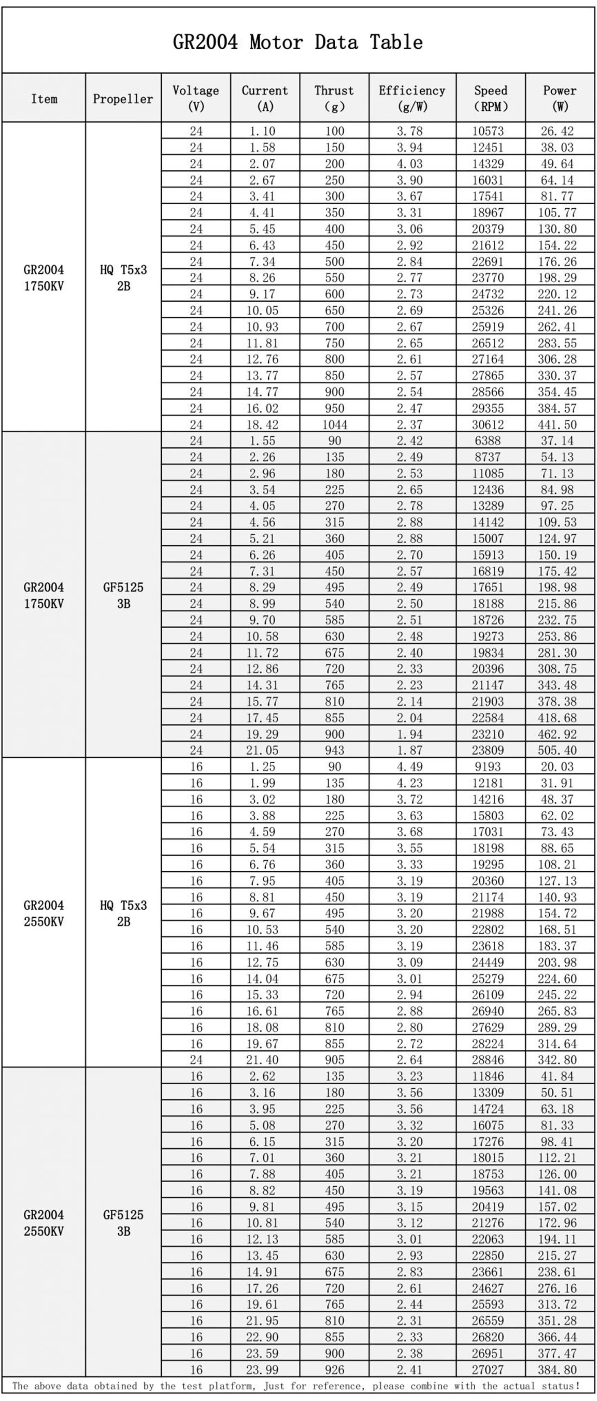
Der GEPRC GR2004 Bürstenloser Motor wurde speziell für Toothpick- und Langstrecken-FPV-Modelle entwickelt. Erhältlich in zwei Varianten: 1750KV (für Langstrecke) und 2550KV (für agilen Flug). Mit seiner effizienten Wärmeableitung, Leichtbauweise und Hochleistungsmaterialien erfüllt der GR2004 alle Anforderungen – ob für ruhige Langstreckenflüge oder dynamische Manöver.
Mit einer 12N14P-Konfiguration und einem Doppellagersystem sorgt der GR2004 für stabile und effiziente Leistung.
WMit nur 16,8 Gramm trägt er zu einem leichteren Drohnen-Setup bei, was die Agilität und Flugzeit verbessert.
Verwendet N52H-Magnete und hochwertige Konstruktion für Langlebigkeit und optimale Leistung.
Die Auswahl an KV-Werten ermöglicht es Piloten, den Motor auszuwählen, der am besten zu ihren spezifischen Bedürfnissen passt.
1750KV für 2-6S-Batterien, ideal für Langstreckenflüge.
2550KV für 2-4S-Batterien, geeignet für Freestyle und Racing.
Am besten geeignet für 5-Zoll-Propeller und kompatibel mit Toothpick- und Langstrecken-FPV-Drohnen.


